|
Brilliant Red 2BL (Pigment Red 48:2)
|
Chemical Name: Calcium Red 2B,Permanent Red BB
CAS No.: 7023-61-2
EU No.: 230-303-5
C.I. NO.: 15865:2
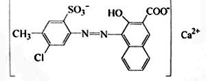
Chemical Formula: C18H11CLN2O6SCa
Molecular Weight: 458.90
Structural Formula: |
 |
|
|
|
Physical and Chemical Properties
|
|
PH Value |
7
|
|
Density (g/cm3 )
|
1.8
|
|
Oil Absorption (ml/100g)
|
45
|
|
Light
|
5
|
|
Heat (C)
|
180
|
|
Water |
4
|
|
Linseed Oil |
3
|
|
Acid |
4
|
|
Alkali |
4
|
|
|
|
|
Application: Good Transparent,Solvent inks |
|