|
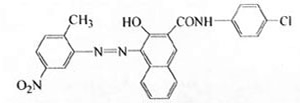
Fast Red F4R (Pigment Red 8)
|
Chemical Name: Naphthol Red F4R; Permanent Red F4R
CAS No.: 6410-30-6
EU No.: 229-100-4
C.I. NO.: 12335
Chemical Formula: C24H17ClN4O4
Molecular Weight: 460.87
Structural Formula: |
¡¡  |
|
|
|
Physical and Chemical Properties
|
|
PH Value |
7
|
|
Density (g/cm3 )
|
1.6
|
|
Oil Absorption (ml/100g)
|
50
|
|
Light
|
5
|
|
Heat (¡ãC)
|
160
|
|
Water |
4
|
|
Linseed Oil |
4
|
|
Acid |
5
|
|
Alkali |
1
|
|
|
|
|
Application: Offset inks, Aqueous inks, Textile Printing
|
|