|
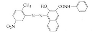
Fast Red N (Pigment Red 22)
|
Chemical Name: Naphthol Red
CAS No.: 6448-95-9
EU No.: 229-245-3
C.I. NO.: 12315
Chemical Formula: C24H18N4O4
Molecular Weight: 426.42
Structural Formula: |
¡¡ |
|
|
|
Physical and Chemical Properties
|
|
PH Value |
7
|
|
Density (g/cm3 )
|
1.4
|
|
Oil Absorption (ml/100g)
|
45
|
|
Light
|
5
|
|
Heat (¡ãC)
|
150
|
|
Water |
4
|
|
Linseed Oil |
4
|
|
Acid |
4
|
|
Alkali |
4
|
|
|
|
|
Application: Yellowish, Aqueous inks, Aqueous coating |
|